Changer les flèches

On dispose de boîtes reliées par des flèches. Une instruction, utilisant le signe :=, permet de modifier une flèche. Par exemple, l'instruction A := B modifie la flèche qui part de A. Après l'exécution de cette instruction, la flèche qui part de A est modifiée pour arriver au même endroit que la flèche qui part de B.

AVANT APRÈS

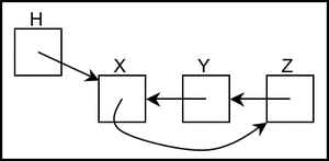
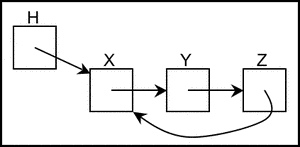
On souhaite maintenant effectuer la transformation illustrée ci-dessous en utilisant une séquence d'instructions à exécuter dans l'ordre.

AVANTAPRÈS

Quelle est la séquence qui convient ?

Exercice suivant